Beispiele für Dezimalschreibweisen:
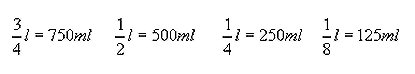
250 ml = 0,250 l
500 ml = 0,500 l
750 ml = 0,750 l
8 l + 250 ml = 8,250 l
|
|
| Stellenwert-Bedeutung |
Dezimal-
schreibweise
in Litern
|
|
100 l
|
10 l
|
1 l
|
100 ml
|
10 ml
|
1 ml
|
|
0
|
0
|
0
|
2
|
5
|
0
|
0,250
|
|
0
|
0
|
0
|
5
|
0
|
0
|
0,500
|
|
0
|
0
|
0
|
7
|
5
|
0
|
0,750
|
|
0
|
0
|
8
|
2
|
5
|
0
|
8,250
|
|
0
|
5
|
5
|
2
|
2
|
2
|
55,222
|
|
2
|
1
|
4
|
6
|
1
|
8
|
214,618
|
|